Actualités & Événements
Lancement du projet lauréat ExTempCO
ExTempCO – caractériser, comprendre et prévoir les vagues de chaleur marines et leurs impacts écosystémiques sur les côtes françaises dans un contexte de changement climatique.
25 mars 2026
Webinaire TRACCS Mars 2026
Du GIEC aux services climatiques, transformations et continuités des modes d’engagement des scientifiques du climat. ???? vendredi 27 mars de 11h à 12h.
9 mars 2026
Rapport sur les critères de réussite d’un service climatique
Les Projets Ciblés 1 DIALOG et 3 DEMOCLIMA viennent de publier un rapport conjoint sur le recensement de services climatiques opérationnels et de démonstrateurs existants en France et dans le monde.
5 mars 2026
EMS 2026 : Appel à abstracts
Le PC 1 DIALOG accompagne la session « Valeurs, avantages et adoption des services climatiques : co-création et impact sociétal ». ???? 6 – 11 septembre 2026. ???? Utrecht (Pays-Bas).
4 mars 2026
Retours d’observations du PC1 DIALOG sur le Hackathon organisé par Météo-France
La responsable et deux membres du Projet Ciblé 1 DIALOG ont participé à ce hackathon afin de mener des observations et échanges sur les dynamiques et interactions menées.
27 février 2026
Le changement climatique et les Jeux Olympiques d’hiver
Samuel Morin (directeur du CNRM et co-directeur du programme TRACCS) s’est exprimé le 5 février dans Matinale de France Inter.
19 février 2026
Lancement du projet lauréat GLADAPT
GLADAPT – Modélisation glacio-hydrologique et adaptation avec programmation différentiable.
18 février 2026
Comment se font les prévisions météo, à l’heure du réchauffement climatique ?
Samuel Morin (directeur du CNRM et co-directeur du programme TRACCS) s’est exprimé le 13 janvier dans l’émission « De cause à effet ».
17 février 2026
Lancement du projet IRICLIM du PEPR Risques (IRiMa)
Le Projet Ciblé IRICLIM du PEPR Risques (IRiMa) a tenu sa réunion de lancement les 20 et 21 janvier 2026 au siège de Météo-France à Saint-Mandé.
16 février 2026
Lancement du projet lauréat LEAP-HCS
LEAP-HCS – Exploiter la programmation différentiable et l’apprentissage en ligne pour le développement de simulateurs climatiques hybrides.
13 février 2026
Lancement du projet lauréat CLIMAVECT
CLIMAVECT – Service Climatique et Maladies Vectorielles : co-construction d’outils pour l’évaluation des risques.
10 février 2026
Retour AG TRACCS 2026
Plus de 200 chercheur.e.s et parties prenantes de la communauté TRACCS se sont réuni.e.s du 3 au 5 février à Paris !
9 février 2026
Webinaire TRACCS Janvier 2026
FORESEE – Vivre avec les conséquences du changement climatique : éclairer et construire les fondations d’un Contrat social. ???? vendredi 30 janvier de 11h à 12h.
30 janvier 2026
Lancement du projet lauréat ARCHIVES
ARCHIVES – De nouvelles pistes pour le réglage des ESMs par la contrainte paléoclimatique des climats chauds passés, interglaciaires et des 2000 dernières années.
29 janvier 2026
Hackathon Météo-France « Le climat en données »
Météo-France, en partenariat avec la Direction interministérielle du numérique et avec la contribution du programme TRACCS, a organisé du 2 au 4 décembre 2025 un hackathon autour des nouvelles données de projections climatiques, couvrant la France hexagonale et les Outre-Mer.
21 janvier 2026
Lancement du projet lauréat MOCAPH
MOCAPH – Une chaîne de modélisation depuis le climat et les polluants atmosphériques jusqu’aux impacts sanitaires et aux coûts associés.
15 janvier 2026
Webinaire PC 6 QUINTET
Evaluation of Quasi-Equilibrium Criteria for Coupled Climate Model Simulations. ???? vendredi 23 janvier de 11h à 12h.
14 janvier 2026
Lancement du projet lauréat kNOW-HOW+4°C
kNOW-HOW+4°C – Savoirs et récits socio-climatiques pour opérationnaliser et essaimer l’adaptation systémique territoriale à +4°C.
12 janvier 2026
Lancement du projet lauréat GEOSIC
GEOSIC – Géopolitique et sciences de l’intervention climatique.
5 janvier 2026
Assemblée générale PEPR Climat – TRACCS 2026
???? 3 au 5 février 2026 ???? Campus des Cordeliers, Paris 6e et Académie du Climat, Paris 4e
4 janvier 2026
Webinaire TRACCS Décembre 2025
Identifier les accords et les désaccords au sein de la communauté transdisciplinaire TRACCS : La méthode Q. ???? vendredi 19 décembre de 11h à 12h.
19 décembre 2025
Lancement du projet lauréat CERISE
CERISE – communiquer les incertitudes pour mieux s’adapter au niveau de la mer.
18 novembre 2025
Assemblée générale finale d’ESM2025
La dernière Assemblée générale du projet européen ESM2025 s’est tenue du 7 au 9 octobre à Météo-France avec plusieurs membres de TRACCS.
17 novembre 2025
Webinaire TRACCS Novembre 2025
Le 7e cycle d’évaluation du GIEC: processus et défis scientifiques, une perspective du groupe de travail I ???? vendredi 14 novembre de 11h à 12h.
14 novembre 2025
Le réchauffement de l’océan Austral menace la viabilité de 60% des plateformes glaciaires antarctiques
Une étude menée dans le cadre des Projets Ciblés 7 IMPRESSION-ESM et 9 ISCLIM.
13 novembre 2025
Réunion du Comité des Utilisateurs des Services Climatiques du PC2 INVEST
La première réunion du Comité des Utilisateurs des Services Climatiques du Projet Ciblé 2 INVEST a eu lieu lundi 3 novembre à Toulouse.
12 novembre 2025
Structuration du CMIP
Dans les années qui viennent, CMIP7 va continuer à apporter un soutien accru aux « Model Intercomparison Projects ».
5 novembre 2025
Enquête de recensement des parties prenantes du projet ciblé 1 DIALOG
L’équipe du projet DIALOG a mené une enquête pour comprendre les souhaits des participant.e.s pour ce projet et identifier de nouvelles personnes intéressées pour le rejoindre.
4 novembre 2025
TRACCS aux Assises Nationales des Risques Naturels 2025
Les ANRN 2025 « La prévention des risques naturels face au défi du dérèglement climatique : au-delà des prises de conscience, ensemble passons à l’action ! » se sont tenues les 13 et 14 octobre à Toulouse.
21 octobre 2025
Webinaire TRACCS Octobre 2025
Futurs hydrologiques en France métropolitaine ???? vendredi 17 octobre de 11h à 12h.
17 octobre 2025
Hackathon sur les données météo et climat
Un hackathon sur les nouvelles données climatiques à fine échelle. ???? 2 – 4 décembre 2025 ???? Toulouse et en ligne.
23 septembre 2025
Webinaire TRACCS Septembre 2025
Modèles climatiques globaux : comment les améliorer ? ???? vendredi 19 septembre de 11h à 12h.
19 septembre 2025
À quoi servent vraiment les climatologues ?
Samuel Somot, chercheur en climatologie chez Météo-France et responsable du projet ciblé 10 LOCALISING, s’exprime pour Futura sur le métier de climatologue.
19 septembre 2025
Atelier SWGEN 2025
Un atelier international pour présenter les derniers développements en matière de générateurs de données météorologiques stochastiques. ???? 2 – 4 décembre 2025 ???? Grenoble.
16 septembre 2025
9 membres de TRACCS auteurs du 7e rapport d’évaluation sur le climat du GIEC
9 membres de TRACCS auteurs du 7e rapport d’évaluation sur le climat du GIEC.
12 septembre 2025
Projets issus du premier appel à projets TRACCS
9 projets issus du premier appel à projet TRACCS viendront compléter les activités de recherche des projets ciblés.
18 juillet 2025
Webinaire TRACCS Juin 2025
Changement climatique et résilience du système électrique français. ???? vendredi 27 juin de 11h à 12h.
27 juin 2025
Webinaire TRACCS Mai 2025
Retour sur l’école “Arts et sciences face au changement climatique et à la transition écologique”. ???? vendredi 23 mai de 11h à 12h.
23 mai 2025
Niveaux de réchauffement régionaux comme indicateurs du changement climatique futur pour les services et l’adaptation : Application à la trajectoire de référence française pour l’adaptation
Une étude menée dans le cadre du PC4 EXTENDING.
24 avril 2025
Évolution de la ressource en eau et de la demande en eau dans une station de sports d’hiver dans le contexte du changement climatique
Une étude menée dans le cadre du PC3 DEMOCLIMA.
15 avril 2025
Webinaire TRACCS Avril 2025
Vagues de chaleur et de froid : événements passés, présents et futurs. ???? vendredi 11 avril de 11h à 12h.
11 avril 2025
Malnutrition et climat au Niger : résultats des indicateurs climatiques et des simulations de rendement des cultures
Une étude menée dans le cadre du PC3 DEMOCLIMA.
3 avril 2025
Retour sur les Ateliers de Modélisation de l’Atmosphère (AMA) 2025
Les AMA 2025 ont réuni la communauté scientifique autour des enjeux et des avancées en modélisation kilométrique du 17 au 21 mars 2025 à Toulouse.
31 mars 2025
Journée de lancement du programme de recherche Mathématiques en Interaction (PEPR Maths-Vives)
Aurélien Ribes (CNRM), co-responsable du PC4 EXTENDING, a animé l’exposé interactif « Mathématiques et crises climatiques » lors de la journée de lancement du PEPR Maths-Vives.
28 mars 2025
Webinaire TRACCS Mars 2025
Incertitudes des services climatiques : retours sur l’atelier de l’AG TRACCS 2025. ???? vendredi 21 mars de 11h à 12h.
21 mars 2025
À quel climat s’adapter en France selon la TRACC ? partie 2
Une synthèse des informations et données climatiques de la TRACC sur la France afin d’en faciliter la prise en main.
18 mars 2025
Assemblée générale du programme de recherche Numérique pour Exascale (PEPR NumPEx)
Redouane Lguensat (IRD / IPSL), membre du PC10 LOCALISING, a présenté le programme TRACCS lors de l’assemblée générale du PEPR NumPEx.
17 mars 2025
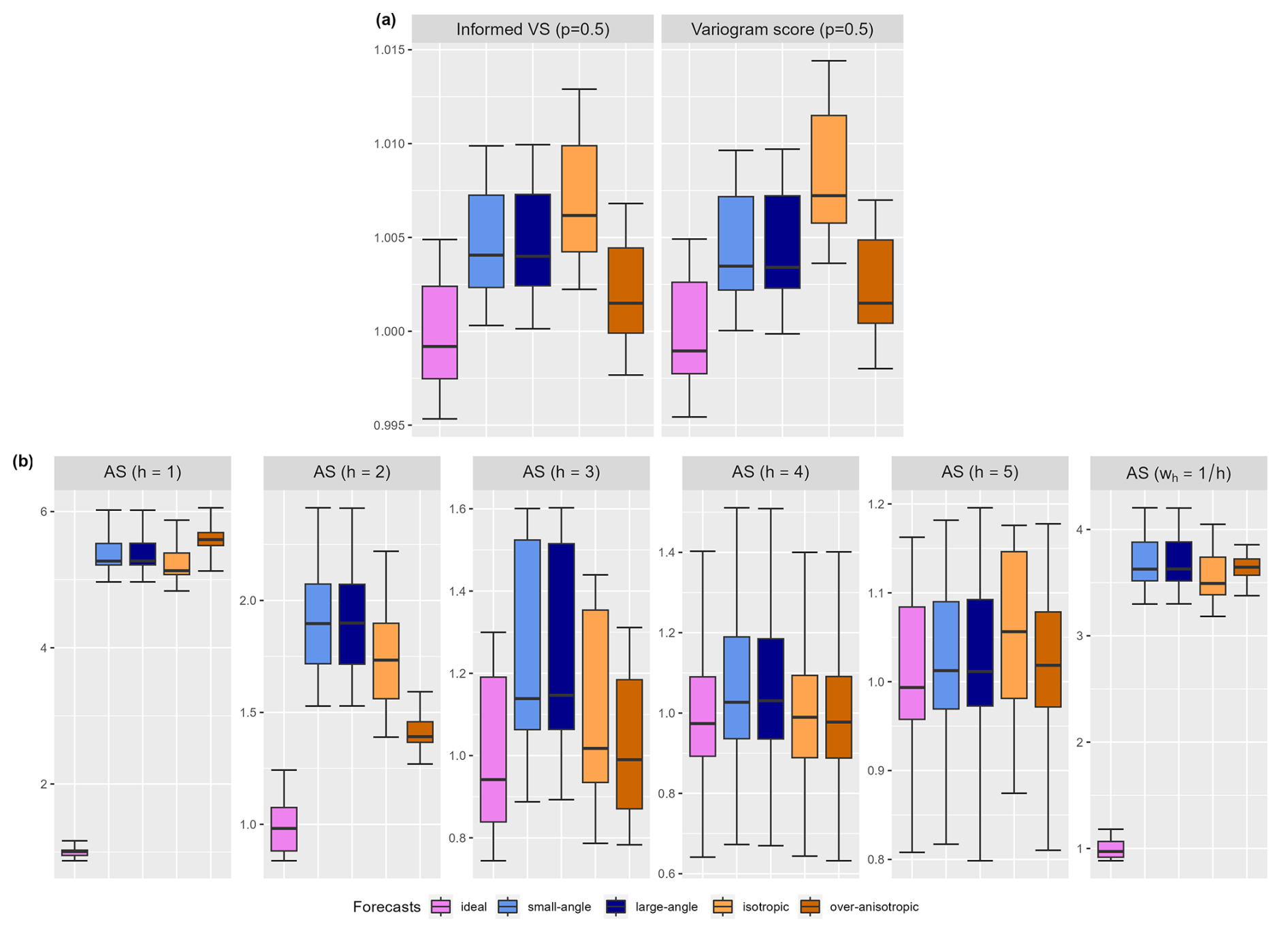
Règles de notation appropriées pour les prévisions probabilistes multivariées basées sur l’agrégation et la transformation
Une étude menée dans le cadre du PC4 EXTENDING.
14 mars 2025
Attribution des événements extrêmes en Méditerranée
Une étude menée dans le cadre du PC4 EXTENDING.
4 mars 2025
Assemblée finale ESM2025
Cette rencontre sera une excellente occasion d’encourager la collaboration, de partager des connaissances et de discuter des futures perspectives de recherche. ???? 7 9 octobre 2025 ???? CNRM – Météo-France (Toulouse)
20 février 2025
Les vagues de froid extrêmes amenées à disparaître sous l’effet du changement climatique
Une étude menée dans le cadre du PC4 EXTENDING.
13 février 2025
Retour AG TRACCS 2025
Plus de 140 membres de la communauté TRACCS se sont réuni.e.s du 4 au 6 février au campus universitaire de Saint-Martin-d’Hères.
12 février 2025
Cours européen de recherche sur l’atmosphère (ERCA) 2025
ERCA 2025 a réuni les expert.e.s autour d’approches interdisciplinaires des défis pressants de la science atmosphérique et de la science du climat.
6 février 2025
Webinaire TRACCS Janvier 2025
Combining physics and machine learning in hybrid climate models, présenté par Julien Le Sommer (CNRS). ???? vendredi 31 janvier de 11h à 12h.
31 janvier 2025
Estimation de l’évolution de la charge de neige extrême en Europe en fonction des niveaux de réchauffement climatique
Une étude menée dans le cadre du programme Copernicus User-Uptake et en lien avec les enjeux des PC3 DEMOCLIMA et PC4 EXTENDING.
25 janvier 2025
OASIS, a community coupler for climate modelling
Dans le cadre du PC 5 COMPACT, Sophie Valcke (Cerfacs) a présenté le coupleur OASIS au séminaire Severo Ochoa au Barcelona SuperComputing Center.
23 janvier 2025
E-Lettre CLIMERI-France & TRACCS
Découvrez la première E-lettre TRACCS & CLIMERI-France – Infrastructure nationale de modélisation du système climatique de la Terre.
17 janvier 2025
3ème Atelier Correction de biais dans les études climatiques
Un atelier international pour explorer méthodes de pointe et défis émergents dans la correction statistique des biais pour les études climatiques à travers différentes échelles de temps. ???? 26 – 28 mai 2025 ???? Mines Paris – PSL.
15 janvier 2025
Assemblée générale PEPR Climat – TRACCS 2025
L’Assemblée Générale 2025 sera l’occasion de nous rassembler et de renforcer notre cohésion et nos interactions scientifiques. ???? 4 – 6 février ???? IMAG, Saint Martin d’Hère.
15 décembre 2024
Ateliers de Modélisation de l’Atmosphère (AMA) 2025
Les AMA 2025 rassembleront du 17 au 21 mars, à Toulouse, la communauté scientifique autour des enjeux et des avancées en modélisation kilométrique.
10 décembre 2024
Des modèles de climat pour la recherche et pour la société
Masa Kageyama (codirectrice du PEPR TRACCS) a présenté au Collège de France « Des modèles de climat pour la recherche et pour la société ».
7 décembre 2024
Pas d’actualités